Impact of Human Activities on Ecosystem

Bird Species Diversity and Spatio-temporal Variation in the Sihong Hongze Lake Wetland National Nature Reserve in Eastern China

  • HU Huali , 1 ,
  • XIAO Lihui 2 ,
  • ZHANG Manyu 3 ,
  • WANG Silu 1 ,
  • CHEN Taiyu 1 ,
  • LU Changhu , 1, *
Expand
  • 1. College of Life Science, Nanjing Forestry University, Nanjing 210037, China
  • 2. Eastern Hongze Lake Wetland Natural Reserve, Huaian, Jiangsu 223100, China
  • 3. Institute of Wildlife Conservation, Jiangxi Academy of Forestry, Nanchang 330037, China
* LU Changhu, E-mail:

HU Huali, E-mail:

Received date: 2023-09-13

  Accepted date: 2023-12-10

  Online published: 2024-07-25

Supported by

The Forestry Bureau of Jiangsu Province(202004120)

Abstract

As an important hub on the East Asian-Australian Flyway (EAAF), Hongze Lake is an important migratory stopover and wintering site for hundreds of thousands of birds. However, research on bird community diversity in this area is still lacking. We conducted a bird survey from July 2020 to June 2021 using the line transect method on the terrestrial habitat, as well as the fixed-point method in the lake wetland at the Sihong Hongze Lake Wetland National Nature Reserve located in northwestern Hongze Lake, and analyzed the temporal-spatial variation in the bird community. The results showed that a total of 170432 detections of 215 bird species belonging to 18 orders and 55 families were recorded. In terms of species composition, the proportion of terrestrial birds was relatively high, followed by waterfowl richness, with high numbers of Anatidae species and shorebirds. For bird species abundance, waterfowl had the highest abundance of common coot (Fulica atra), belonging to the Rallidae family, followed by Anatidae and Ardeidae species. The abundance of shorebirds was extremely low, and that of non-waterfowl was also low. In terms of temporal patterns, the number of bird species and richness index were higher in spring and autumn but lower in winter and summer. The bird abundance was the highest in winter, and the remaining three seasons were similar in terms of bird abundance. The diversity index and evenness index were higher in spring, summer and autumn, and lowest in winter. For the spatial pattern, the open water in the western part of the reserve included the most densely distributed areas for birds, and the number of bird species and their abundance were both the highest in that part. There were significant differences in the bird community structures among the four habitats. The species number and richness index of birds in the reed habitat were the highest, and the bird abundance was also high, but the diversity index and evenness index were low. Although the bird abundance in the lake habitat was much higher than in the other habitats, the diversity index, evenness index and richness index were the lowest. The numbers of bird species and individuals in tourist attraction land and farmland were low, but the diversity index, evenness index and richness index were high. Our results reveal the spatial and temporal patterns of bird species diversity and abundance in Sihong Hongze Lake Wetland National Nature Reserve, and reflect the effects of different habitat types on bird diversity.

Cite this article

HU Huali , XIAO Lihui , ZHANG Manyu , WANG Silu , CHEN Taiyu , LU Changhu . Bird Species Diversity and Spatio-temporal Variation in the Sihong Hongze Lake Wetland National Nature Reserve in Eastern China[J]. Journal of Resources and Ecology, 2024 , 15(4) : 826 -837 . DOI: 10.5814/j.issn.1674-764x.2024.04.004

1 Introduction

Lake wetlands provide shallow water, marshes, mudflats, and sparse grass flats that are essential habitats and feeding grounds for migratory birds and other wetland-dependent wildlife, especially endangered species (Paszkowski and Tonn, 2000; Lyche-Solheim et al., 2013; Wang et al., 2019). As the fourth largest freshwater lake in China, Hongze Lake’s vast lake surface and diverse habitats make it an important resting and wintering ground for various migratory birds on the East Asia-Australasia Flyway (EAAF) and an important foraging and breeding ground for native birds (Yong et al., 2018; Du et al., 2022; Li et al., 2022). In view of the important ecological value of Hongze Lake, in 2006, the Chinese government established the Sihong Hongze Lake Wetland National Nature Reserve and Eastern Hongze Lake Wetland Natural Reserve in the northwest and southeast of Hongze Lake, respectively, to better protect the local wetland ecosystem and wild birds.
The core of species diversity research is changes in species quantity, and the important contents are the spatial and temporal patterns of changes in species quantity and the biological diversity of species at different scales (Zhou, 2000). The temporal pattern of species diversity refers to the pattern of change in species diversity in the time dimension, which can be as small as either seasonal shifts, generational changes or ecological succession, or as large as hundreds of millions of years, cyclical or stochastic patterns of change in species populations (Zhou et al., 2000). The pattern of seasonal changes in birds is a special pattern of time change, which is related to the migratory habits of birds (Bruderer and Salewski, 2008). Environmental factors are the primary factors affecting the spatial pattern of bird diversity (Huang, 1994; Hou et al., 2022). Different habitat types affect bird richness and evenness because of the differences in land use types and spatial allocation (Tu et al., 2020). There is some spatial and temporal variability in the characteristics of bird community structure and diversity, which is influenced by the variety of ecological types of wetland classes, the complexity of habitat environments and the spatial and temporal dynamics of the community itself (Mistry et al., 2008). However, there is a lack of research on the temporal and spatial characteristics of birds in the Hongze Lake wetland.
It is widely known that the water levels of most lakes in eastern China are related to variations in the pattern of precipitation in the monsoon region, which generally presents high water levels in summer and low water levels in winter (Zhang et al., 2021; Fang et al., 2022). A lower water level in winter is suitable for wetland bird occupancy and foraging (Faragó and Hangya, 2012). However, Hongze Lake has shown anti-seasonal water level hydrological characteristics due to artificial regulation since the completion of the Sanhe Sluice in 1950 and the East Route of the South-to-North Water Transfer Project (ER-SNWDP) (Cai et al., 2020; Qin et al., 2020). The water level can affect and change the habitat type and area available for wetland birds, and thus affect the spatial distribution of the birds (Zhu et al., 2021). Some researchers have shown that the rise in the water level in winter leads to a reduction in the areas of mudflats and herbaceous marshes in lakes, leading to a reduction in the feeding grounds and habitats of waterfowl in the regional digging and pecking groups and the shallow water feeding groups (Wang et al., 2018). However, the changes in bird community structure in Hongze Lake in relation to its special anti-seasonal water levels are still unknown.
Some previous studies have focused on species composition and seasonal changes in Anatidae species in the Sihong Hongze Lake Wetland National Nature Reserve, but there is still a lack of comprehensive studies of bird community composition and spatial and temporal patterns of change (Wang et al., 2022). Therefore, the main objectives of this study are to determine the community structure of all bird species in the Sihong Hongze Lake Wetland National Nature Reserve, reveal the spatial and temporal characteristics of bird community structure under an anti-seasonal water level pattern, and elucidate the differences in the community structure of birds in different habitat types in the reserve. This information will provide an important basis for the conservation of birds in the reserve and for the formulation of management decisions.

2 Materials and methods

2.1 Study area

Sihong Hongze Lake Wetland National Nature Reserve (33°10′48″‒33°23′34″N, 118°12′14″‒118°47′09″E) is located in the northwestern part of Hongze Lake in Suqian City, Jiangsu Province, China. The total area of the reserve is 50 223.13 ha, accounting for 10.35% of the lake area of Hongze Lake, and it is the most well-preserved and representative area of the Hongze Lake wetland (Yin et al., 2013). The reserve is in a transition zone between temperate and subtropical climates, with a mild climate, distinct seasons and abundant precipitation (Xu et al., 2021). The average annual temperature in the region ranges from 13.9 ℃ to 16.2 ℃. The average temperature in July, the warmest month, is 25.5 ℃ to 30.4 ℃; while the average temperature in January, the coldest month, is -2.4 ℃ to 3.6 ℃ (Zhou et al., 2012). The average precipitation of Hongze Lake is 942.9 mm, of which the average precipitation during the flood season (June-September) is 668.1 mm, accounting for 70.9% of the average annual precipitation; and the average rainfall during the non-flood season (October to May of the following year) is 274.8 mm, accounting for 29.1% of the average annual rainfall (Hu et al., 2019). Hongze Lake is a stock-regulating reservoir in the middle reaches of the Huai River, which is responsible for preventing floods and regulating runoff. In its artificial regulation, the water level is limited to 12.3 m in the flood season; and after a flood, to meet the task of regulating the northward transfer of water from the Jiangsu River, the water storage level is maintained at 13.3 m (Ge et al., 2015).

2.2 Field survey

In this study, the line transect method was used to survey the birds in terrestrial habitats, and the fixed-point method was used in the open water habitats in the reserve. A total of nine sample lines and five sample points were set up (Fig. 1b). Twelve bird surveys, each with a duration of 5-7 days, were conducted from July 2020 to June 2021 for each of the 14 study sites at intervals of one month. For the survey of terrestrial habitats, the transect covered a variety of habitats in the core, buffer, and experimental areas, including cropland and woodland, reed-land and tourist attraction land. The investigators travelled through each transect at a constant speed of 2.0‒3.0 km h-1, observing the birds with the help of 10×42 binoculars (Shuntu, China) and recording the numbers of bird species and individual birds seen or heard within 50 m of the transects (the term “detections” is used whenever an individual bird was met), except for the birds that flew over the sites but did not stay. For the waterfowl survey, the habitat contained in the water area includes reed land and broad lake surfaces. The investigators went to each fixed sample point by boat and used a 20×60 single-tube telescope (Nikon, Japan) and 10×42 binoculars (Shuntu, China) to observe the birds within 1 km around the sample point. The observation time of each sample point was controlled at 15-20 minutes. The investigation times of the two methods were generally in the morning or evening of every day, preferably when the weather was clear and there was low wind speed. When there were few birds, the direct counting method was used, and the mass counting method was used to count the total number of birds with large numbers or high population density (in this study, mainly geese and ducks that live in open water). Only the birds flying into the area from outside the study sites were counted, while the birds flying out of the area were not recorded. A Canon EOS 70d camera with a Sigma 150-600 mm F5-6.3 DG OS HSM lens was used to photograph the habitats and birds. The scientific name and classification of the birds was mainly determined based on the A Checklist on the Classification and Distribution of the Birds of China (Fourth Edition) and Zoogeography of China (Zheng, 2023).
Fig. 1 Location of the Sihong Hongze Lake Wetland National Nature Reserve in Jiangsu Province, China (a), and sampling points and lines for the bird survey in the reserve (b)

2.3 Habitat classification

The spatial distribution characteristics of birds are known to be closely related to habitat types. According to the habitat characteristics and human activities in the protected area, bird habitats in the reserve were divided into four groups, namely, open water, farmland, reed wetland and tourist attraction land; and interpretive signs of relevant habitats and covered sample lines or point numbers were established, as shown in Table 1.
Table 1 Habitat classification and description of the Sihong Hongze Lake Wetland National Nature Reserve
Habitat type Characteristics Study sites
Farmland Uncultivated or cultivated areas used for crop cultivation that are surrounded by a small amount of poplar forest L3, L4, L8
Open water The lake is wide, and its vegetation coverage is less than 10% P1, P2, P5
Reeds Reed-growing areas in river channels and shoals P3, P4, L7
Tourist attraction land Public open areas with more frequent human activity. These areas have buildings, impervious roads, and artificial ponds, and they have a tree and brush coverage greater than 50% L5, L6, L9

2.4 Data analysis

2.4.1 Sampling adequacy analysis

In order to test whether the different bird survey methods were sufficient and reliable for obtaining the numbers of general species, dominant species and infrequent species of birds, our study recorded the individual numbers of birds obtained by the two methods. To judge the adequacy of the sampling survey, rarefaction and extrapolation sampling curves were then drawn based on species diversity and sampling coverage curves that were based on coverage in 95% confidence intervals based on different order q of Hill number values (Yao et al., 2023). The three categories were: species diversity (q=0), emphasizing individuals of infrequent species; Shannon diversity (q=1), emphasizing common species; and Simpson diversity (q=2), emphasizing dominant species (Chao et al., 2020). Both types of curve plotting were conducted in the “RiNEXT” and “ggplot” packages in R.4.3.1 (Hsieh et al., 2016).

2.4.2 Bird diversity index

The data obtained from the field survey were analyzed to determine the bird species richness of each site using the Margalef index (D) (Margalef, 1957). The Shannon-Wiener index (H') (Shannon, 1948) and Pielou index (E) (Pielou, 1966) were used to calculate community bird species diversity and evenness values (Xiao et al., 2016). The Parker-Berger dominance index (Pi) was used to determine the dominance index of each species in the bird community (Ma, 2003). When the Pi of species i is ≥10%, species i is the dominant species.
$H'=-\underset{i=1}{\overset{S}{\mathop \sum }}\,{{P}_{i}}~\text{ln}{{P}_{i}}$
E= H'/lnS
D=(S‒1)/lnN
Pi=Ni/S
where S is the total number of bird species; N is the total number of bird individuals; Pi represents the number of birds for species i/total number of birds; and Ni represents the number of individuals of species i.

2.4.3 Data statistics and processing

We used nonmetric multidimensional scaling (NMDS) based on the Bray-Curtis similarity index to explore the bird community structures in the different habitats (de Lima et al., 2013). Stress is a measure of deviation from monotonicity in the relationship between distance in the original space and the reduced ordination space (Paavola et al., 2006). It is suggested that a stress value lower than 0.05 represents an excellent ordination, stress <0.1 is a good ordination, stress <0.2 is an acceptable ordination, and stress >0.2 is a poor ordination (Barnett et al., 2016). To measure differences in the bird communities between habitats, we used the analysis of similarities (ANOSIM) using 999 random permutations (Clarke, 1993). The NMDS analysis, calculation of stress values and ANOSIM analysis were carried out using metaMDS() and anosim() in “vegan” in R4.3.1.
The Shapiro-Wilk test and Levene’s test were used to test for the normal distribution and homogeneity of variance of the data. If an index satisfied the homogeneity of variance and normal distribution, one-way analysis of variance (one-way ANOVA) was used to determine the differences between the groups, and the least-significant difference (LSD) was used for post hoc comparison (Kozak and Piepho, 2018). If an index did not meet the normal distribution, differences in characteristics between groups were analyzed using the Kruskal-Wallis test with Dunn post hoc tests (Ostertagova et al., 2014). The significance level was P<0.05 in this study, and all the above operations were performed in SPSS 26.0, while the other figures in this paper were completed in Origin 2022. The illustrations of birds in this paper are from A Field Guide to the Birds of China (MacKinnon and Phillipps K, 2000).

3 Results

3.1 Interpolation and extrapolation analysis based on species diversity and sample coverage

Under different order q values, the numbers of bird species obtained by different bird survey methods increased with an increase in the number of sampled birds, and the rarefaction sampling curve tended to be flat in the common species (q=1) and the dominant species (q=2), but the extrapolation sampling curve continued to increase in the rare species (q=0). The sampling adequacy curves of the two bird survey methods showed a tendency to rise and then flatten at different order q values, which indicated that the sample survey was sufficient (Fig. 2).
Fig. 2 The species richness rarefaction and extrapolation sampling curves of birds recorded by two bird survey methods based on the abundance of birds (left) and sampling coverage (right) at different order q values

Note: L: line transect method, and P: fixed-point method.

3.2 The composition of bird species and seasonal variation

A total of 170432 detections of 215 species belonging to 18 orders and 55 families were recorded from Sihong Hongze Lake Wetlands National Nature Reserve (Hu et al., 2023). The number of bird species was lowest in summer (from June to August), then gradually increased in autumn (from September to November), decreased in winter (from December to February), and rebounded and reached a maximum in spring (from March to May) (Fig. 3). The analysis of individual bird species in each season showed that 35 bird species could be observed in all seasons, with 31, 9, 21, and 12 unique bird species observed in spring, summer, autumn and winter, respectively (Fig. 4).
Fig. 3 Bar plots of the number of bird species (a) and the number of waterfowl species (b) in each month
Fig. 4 Venn diagram of the numbers of bird species among the four seasons
Bird community structure varies seasonally. In all four seasons, terrestrial birds were the most dominant group, with higher numbers of species in spring and autumn (Fig. 3a). The numbers of shorebirds in the reserve were higher in spring and autumn and lower in summer and winter. The numbers of Anatidae species were lowest in summer and gradually increased from mid to late autumn, with more constant numbers in the reserve throughout the winter, followed by a gradual decrease in spring. Ardeidae species were more numerous from late spring to early autumn, but less in winter. The numbers of Ardeidae species, Rallidae species and other waterfowl did not vary much throughout the year (Fig. 3b).
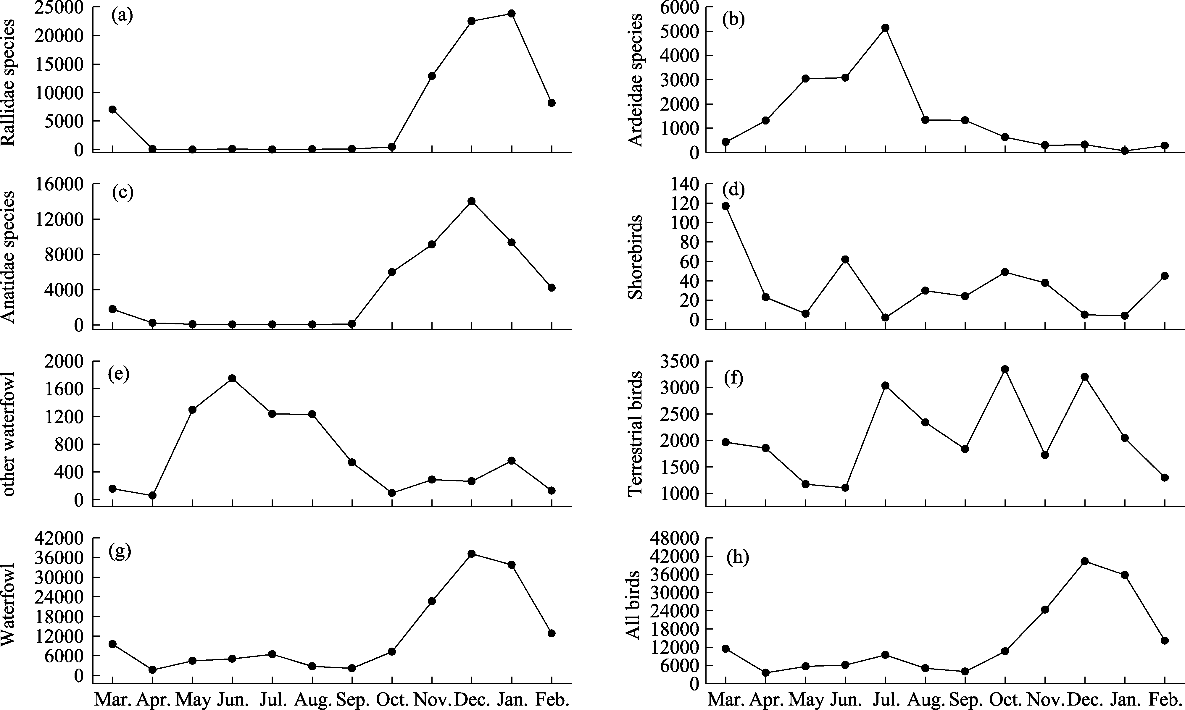
The abundance of bird species varied significantly between seasons and was significantly higher in winter than in the other seasons (F3=4.423, P<0.05). From early autumn to early winter, the species abundance of birds showed a sharp upward trend, peaking in early winter, then dropping sharply, and reaching a minimum in mid-spring, which was consistent with the trend of waterfowl species abundance (Fig. 5h, g). Terrestrial birds showed a wavy trend throughout the year (Fig. 5f). Different groups of waterfowl had different trends over time. The bird species abundances for the Rallidae and Anatidae species were very low from mid-spring to mid-autumn, rising sharply from mid-autumn, peaking in late winter and then falling sharply again (Fig. 5a, c). The Ardeidae species abundance increased gradually from mid-spring, peaked in mid-summer, decreased sharply in late summer and finally stabilized (Fig. 5b). Shorebird abundance in the reserve was extremely low compared to the other bird groups, with higher numbers of individuals in spring and autumn and fewer in winter (Fig. 5d). Other types of waterfowl had high species abundances in late spring and early summer, with another small peak in winter (Fig. 5e).
Fig. 5 Line graphs of the abundances of different bird groups as a function of month (from July 2020 to June 2021)
The results of one-way ANOVA indicated that none of the three indices showed a significant difference between seasons (diversity index (H’): F3=3.099, P=0.089; evenness index (E): F3=3.326, P=0.077; richness index (D): F3=3.370, P=0.075). Although not satisfying statistical significance, the indices still varied somewhat with the season. The diversity index (H’) values in spring, summer, and autumn were much higher than in winter. The evenness index (E) was the highest in summer, followed by spring, autumn and winter. The richness index (D) was higher in spring and autumn and lower in summer and winter (Table 2).
Table 2 Indices of bird diversity, richness and evenness in the four seasons in the Sihong Hongze Lake Wetland National Nature Reserve
Season S N H’ E D
Spring 148 20661 3.0164 0.6036 14.795
Summer 88 20661 2.9464 0.6581 8.7560
Autumn 155 38886 2.8517 0.5654 14.572
Winter 100 90224 1.8328 0.3980 8.6766

Note: S: number of species; N: number of bird individuals; H’: Shannon‒ Wiener diversity index; E: Pielou evenness index; D: Margalef richness index.

3.3 Spatial variation in bird composition

The number of bird species in each sample site varied (Fig. 6). The numbers of bird species in L7 and P2 were high, and the lowest number was in P5. There were differences in the spatial distributions of the six groups. In the nine sampling lines, terrestrial birds accounted for the vast majority, and the numbers of waterfowl increased significantly at the five sampling points, which was related to the habitat type. Among the six groups, although the number of Rallidae species was low, they were found in most of the study sites. Anatidae species were mainly distributed in all sample points and L7. The Ardeidae species had high numbers at all study sites, with relatively high numbers of shorebirds within P1, P2 and P3.
Fig. 6 Spatial distribution hotspots of birds in the Sihong Hongze Lake Wetland National Nature Reserve based on the number of bird species
The Kruskal-Wallis test results show significant differences in the spatial distribution of the bird species abundances in the different groups (H=35.72, P<0.01). The bird species abundances at P1, P 2 and P 3 were much richer than that at the other study sites, with higher proportions of Anatidae and Rallidae species, and the dominant species at all three points was the common coot (Fulica atra) (Fig. 7). L3 was dominated by Ardeidae species, with the dominant species being the little egret (Egretta garzetta), intermediate egret (Ardea intermedia), Chinese pond heron (Ardeola bacchus) and cattle egret (Bubulcus ibis). Within P4 and P5, there were high proportions of Anatidae species, with the codominant species being the eastern spot-billed duck (Anas zonorhyncha) and whiskered terns (Chlidonias hybrida). Terrestrial birds were overrepresented in the remaining study sites, with dominant species such as the white- cheeked starling (Spodiopsar cineraceus), light-vented bulbul (Pycnonotus sinensis), Chinese grosbeak (Eophona migratoria), vernous-throated parrotbill (Sinosuthora webbiana), barn swallow (Hirundo rustica) and Eurasian tree sparrow (Passer montanus). There was only a low abundance of shorebirds, and the numbers of individuals recorded at the sample points were higher than that at the sample lines.
Fig. 7 Bar graph of bird abundance and dominant bird species for the different study sites in the Sihong Hongze Lake Wetland National Nature Reserve

3.4 Composition varies in different habitats

The results of the Shapiro-Wilk test and Levene’s test showed that the richness index (D) satisfied the homogeneity of variance and normal distribution, while the evenness index (E) and diversity index (H’) did not. The results of one-way ANOVA showed that there were marginal differences in the richness index (D) across habitats (F3=3.525, P=0.068). Post hoc comparisons showed that the values for tourist attractions and reeds were significantly higher than for open water (P<0.05). The Kruskal-Wallis test shows significant differences in the diversity index (H’) (H=7.82, P<0.05), and the result of Dunn post hoc tests showed that open water was lower than tourist attractions (P<0.05). No significant differences were detected in the evenness index (E) of bird communities in the four habitats (H=6.18, P=0.10). The number of bird species in the reeds of the reserve was the highest, followed by tourist attraction land and open water, and the number in farmland habitat was the lowest. The bird species abundances in the open water and reeds were much larger than in the other habitats. The bird diversity and evenness indices were in the order of tourist attraction land > farmland > reeds > open water (Table 3).
Table 3 Indices of bird diversity, richness and evenness in different habitats of the Sihong Hongze Lake Wetland National Nature Reserve
Habitat S N H' E D
Open water 116 89668 1.9772 0.4159 10.0843
Reeds 151 49228 2.3448 0.4673 13.8835
Farmland 110 17749 3.0739 0.6539 11.1405
Tourist attraction land 125 11065 3.4631 0.7172 13.3168

Note: S: number of species; N: number of bird individuals; H': Shannon-Wiener diversity index; E: Pielou evenness index; D: Margalef richness index.

The coefficient of concordance of NMDS sorting was 0.0399, which indicates that the results of NMDS sorting under habitat grouping are well represented (Fig. 8). The results of NMDS based on Bray-Curtis distance showed that species composition could be very dissimilar within habitat categories. The significance of community structure differences between groups was tested based on ANOSIM (R=0.278, P=0.046), and the results showed that there were significant differences between the bird communities in the four habitats (Fig. 8).
Fig. 8 NMDS double sequence and ANOSIM diagrams based on the Bray-Curtis dissimilarity matrix data of bird species abundances in the four habitats

Note: TA: Tourist attraction; F: Farmland; R: Reeds; OW: Open water.

4 Discussion

4.1 Community composition and seasonal dynamics of birds

Our results identified 215 bird species in the Sihong Hongze Lake Wetland National Nature Reserve, adding 68 new bird records compared with the results of Wang et al (2014). Our survey found that the number of waterbirds in Sihong Hongze Lake Wetland National Nature Reserve accounts for 85.3% of all the birds. The bird community structure is similar to Poyang Lake, which is also dominated by waterbirds (Huang et al., 2016). However, from the point of view of waterbird community structure, the number of large-size wintering waterbirds adapted to shallow water is significantly higher in Poyang Lake than in Hongze Lake, while the numbers of geese and ducks and common coots in Hongze Lake are higher than in Poyang Lake, which may be related to the patterns of water level variation in winter in the two lakes (Zeng et al., 2021). It is particularly noteworthy that the population of national key protected wildlife and endangered species recorded in the reserve is close to 20000, and that number is increasing year by year (Li et al., 2020). Therefore, the Sihong Hongze Lake Wetland National Nature Reserve is an important transit station for birds on the East Asia-Australia migration route, so it plays an important role in the protection of endangered species.
Many studies have shown that the bird species composition in a given area shows seasonal dynamics (Ali et al., 2016; Panda et al., 2021). In this study, the bird communities in the reserve varied significantly with season. The numbers of bird species and richness indices were higher in spring and autumn, and the number of individual birds was significantly higher in winter than in the other seasons, mainly because the reserve is located along the East Asian-Australian migratory route, where large numbers of transiting and wintering birds stop and overwinter (Yamaura et al., 2017). Meanwhile, Hongze Lake has a high water level in winter, with a wide deep-water area, so a large number of waterfowl that are adapted to deep-water habitats, such as Anatidae species and the common coot, cluster here. As a result, the Shannon-Wiener diversity index and Pielou evenness index values of birds in winter were significantly lower than those in other seasons. Although the number of bird species and the Margalef richness index were lowest in summer, the abundances of Ardeidae species, other waterfowl species and land birds were high because the reserve contains a variety of habitat types, such as farmland and reedbeds, and the high density of woodland tree canopies in tourist attraction land can provide abundant food resources and breeding sites for different groups of birds (Newson et al., 2012). In addition, small clusters of some waterfowl, such as whiskered terns, and Ardeidae species, occur during the summer months, resulting in a lower evenness index. The numbers of land birds and shorebirds were higher in spring and autumn, which is related to the migratory habits of these birds. In addition, clusters of the common coot and of Anatidae species began to arrive at the reserve for wintering in late autumn, and they began to leave in early spring, which resulted in higher diversity index values and relatively lower evenness index values.

4.2 Spatial distribution of bird communities

In our study, 78% of bird individuals were recorded in lake wetlands using the fixed-point method, while only 22% were recorded in the inland of the lake using the line transect method, and this difference may be related to the bird survey methods. Some studies have shown that fixed- distance line transect and fixed-radius point count surveys have similar abilities to detect species of salt marsh birds. Except for the similar species recorded, the density of each species and the total density of birds obtained by the sampling method were higher than those obtained by the transect method (Cai et al., 2010). In addition, the distribution pattern of bird diversity was caused by the combined action of various habitat factors which are mainly related to habitat type and habitat area (Zhang et al., 2023). The lake area of the reserve is about 60%, so the top three study sites with the largest numbers of bird individuals recorded are all points in the lake. Interestingly, P5, which is also located in the lake, had fewer individual birds, which may be related to its geographical location. During the field investigation, although we found that P5 is a deep water area suitable for allowing waterbirds to rest, it is far away from the shallow water feeding areas on both sides, which means that birds would need to make more effort to reach both sides for feeding, so fewer individuals were recorded in this point (Wang et al., 2022). It is worth noting that the survey results of birds are limited by the setting of plots. In our study, the study sites in the northern and southern regions of the reserve may affect the spatial distribution results of the birds.

4.3 Avian community diversity in different habitats

The diversity of bird communities is closely related to the habitats in which they live, which is related to the fact that habitat heterogeneity may affect the structure and composition of bird species assemblages (Cody, 1985; Panda et al., 2021). Our study found significant differences in bird community structure among the four habitats, and the number of bird species and richness index in the reed habitat were the highest because it included water, grassland, mudflat, reed vegetation and other diversified micro-landscapes that had formed due to water level changes. The aggregation of migratory and resident bird species is affected by changes in some key abiotic parameters, such as nest site requirements, mode of locomotion and the availability of food resources in wetlands, which are correlated with water level changes (Kushlan, 1986; Sonal et al., 2010; Essian et al., 2022). In summer, the water level is low, so the reed fields are exposed and form scattered small areas of grass and mud flats, providing a place for shorebirds to rest and forage and a breeding place for the common moorhen (Gallinula chloropus) and little grebe (Tachybaptus ruficollis). In winter, the water level rises and the water area becomes larger, which can provide abundant shelter for clustered Anatidae species and the common coot (Paillisson et al., 2003; Talbi et al., 2020). In addition, broad-adapted forest birds, such as the vinous-throated parrotbill, barn swallow and light-vented bulbul, also congregated in the reed fields for breeding and feeding, resulting in a low evenness index (Schmidt et al., 2005). The number of bird species and richness index in open water habitat were low, which is mainly due to the low habitat heterogeneity and the lack of suitable shallows for Ardeidae species to roost, as well as an inability to cater to terrestrial birds that depend on a high level of vegetation cover for their survival. However, the abundance of bird species in open water was significantly higher than in other habitats because of the vast amount of Anatidae species and common coot that are adapted to deep-water lakes in the winter, which leads to diversity index and evenness index values below those of the other habitats.
The intermediate disturbance hypothesis predicts that moderate disturbance can increase species diversity, which is related to the increase in habitat diversity due to human activities (Connell, 1978; Mendelssohn and Yom-Tov, 1999). The numbers of bird species in farmland and tourist attraction land habitats in the reserve were also high because human construction activities create different microhabitats on the tourist attraction land, including artificial forests, buildings, artificial grasslands that are constantly maintained, and artificial ponds for viewing, which provide hiding and resting places for different groups of birds. Rice and wheat rotation systems are implemented in the farmland. The rice planting period is from May to October every year, and the irrigation water level in the farmland is relatively high. After rice is harvested, the soil is quickly tilled, and wheat is sown when the rice field is completely brown. The harvest begins in May of the next year. During wheat planting, there is no irrigation water in the field (Wang et al., 2009). Due to the inconsistency of plant species and irrigation methods in different periods of farmland management, their microhabitats change significantly over time, so they can provide rich and diverse food resources for different groups of birds. However, it is worth noting that in our study, bird abundances in tourist attraction land and farmland habitats with human disturbance were lower than in open water and reed habitats without human disturbance. Although some studies have found that some birds use artificial intervention wetlands as resting, feeding and nesting sites, some other birds are highly dependent on natural wetlands and are unable to switch to artificial wetlands (Li et al., 2022; Tellería et al., 2022; Cheng and Ma, 2023).

5 Conclusions

By exploring the seasonal variations and different habitat types of bird species diversity in the Hongze Lake wetland, three main conclusions were drawn.
(1) The Sihong Hongze Lake Wetland National Nature Reserve is an important transit station for birds on the East Asian-Australian migratory route located in central and eastern China, with large numbers of migratory bird species in spring and autumn.
(2) The water levels in the reserve remain high in autumn and winter under artificial regulation, due to the construction of river sluices, resulting in a low abundance of shorebird species adapted to shallow habitats and an abundance of Anatidae and common coot, which prefer to inhabit deeper waters.
(3) There were significant differences in the bird community structures among the four typical habitats in the reserve. The bird species richness in the reed habitat was the highest, followed by tourist attraction land, open water and farmland. The bird abundances in the reed and open water habitats were much higher than that in the tourist attraction land and farmland, while the richness index, evenness index and diversity index values were the lowest in the open water habitat.
[1]
Ali E, Ismahan H, Moussa H. 2016. Diversity patterns and seasonal variation of the waterbird community in Mediterranean wetlands of Northeastern Algeria. Zoology and Ecology, 26: 85-92.

[2]
Barnett T P, Adam J C, Lettenmaier D P. 2016. Potential impacts of a warming climate on water availability in snow-dominated regions. Nature, 438: 303-309.

[3]
Bruderer B, Salewski V. 2008. Evolution of bird migration in a biogeographical context. Journal of Biogeography, 35(11): 1951-1959.

[4]
Cai Y, Ke C Q, Shen X Y. 2020. Variations in water level, area and volume of Hongze Lake, China from 2003 to 2018. Journal of Great Lakes Research, 46: 1511-1520.

[5]
Cai Y T, Gan X J, Ma Z J. 2010. Comparison of line transect and point count surveys: A case study of spring saltmarsh birds at Chongming Dongtan. Biodiversity Science, 18(1): 44-49. (in Chinese)

[6]
Chao A, Kubota Y, Zelený D, et al. 2020. Quantifying sample completeness and comparing diversities among assemblages. Ecological Research, 35(2): 292-314.

[7]
Cheng C Y, Ma Z J. 2023. Conservation interventions are required to improve bird breeding performance in artificial wetlands. Biological Conservation, 278: 109872. DOI: 10.1016/j.biocon.2022.109872.

[8]
Clarke K R. 1993. Non-parametric multivariate analysis of changes in community structure. Australian Journal of Ecology, 18: 117-143.

[9]
Cody M L. 1985. Habitat selection in birds. London, UK: Academic press.

[10]
Connell J H. 1978. Response: Intermediate-disturbance hypothesis. Science, 204(4399): 1344. DOI: 10.1126/science.204.4399.1344.

[11]
de Lima R F, Dallimer M, Atkinson P W, et al. 2013. Biodiversity and land-use change: understanding the complex responses of an endemic- rich bird assemblage. Diversity and Distributions, 19(4): 411-422.

[12]
Du C G, Shi K, Liu N S, et al. 2022. Remote estimation of the particulate phosphorus concentrations in inland water bodies: A case study in Hongze Lake. Remote Sensing, 14(16): 3863. DOI: 10.3390/rs14163863.

[13]
Essian D A, Paudel R, Gawlik D E. 2022. Predicting effects of water management on breeding abundance of three wading bird species. The Journal of Wildlife Management, 86(1): e22155. DOI: 10.1002/jwmg.22155.

[14]
Fang S W, Wang S G, Ouyang Q L. 2022. Discussion on the definition standard of the wet season, normal season and dry season in Poyang Lake. Journal of China Hydrology, 42(1): 11-15. (in Chinese)

[15]
Faragó S, Hangya K. 2012. Effects of water level on waterbird abundance and diversity along the middle section of the Danube River. Hydrobiologia, 697: 15-21.

[16]
Ge Y D, Liu D T, Gan M. 2015. The impact of the construction of sluice and the East route of the South-to-North Water Diversion project on the ecology of Hongze Lake. Guide of Sci-tech Magazine, (8): 164. (in Chinese)

[17]
Hou P, Bai J J, Chen Y, et al. 2022. Analysis on the hotspot characteristics of bird diversity distribution along the continental coastline of China. Frontiers in Marine Science, 9: 1007442. DOI: 0.3389/fmars.2022.1007442.

[18]
Hsieh T C, Ma K H, Chao A. 2016. iNEXT: An R package for rarefaction and extrapolation of species diversity (Hill numbers). Methods in Ecology and Evolution, 7(12): 1451-1456.

[19]
Hu H L, Lu C H, Xu Z P. 2023. Occurrence dataset of birds in the Sihong Hongze Lake Wetland National Nature Reserve, Jiangsu, China. http://www.gbifchina.org.cn/resource?r=sihong_hongze_lake_bird&v=1.2.

[20]
Hu J, Mei H P, Liu M. 2019. Analysis of water level variation characteristics of Hongze Lake. Harnessing the Huaihe River, (12): 11-12. (in Chinese)

[21]
Huang J H. 1994. The spatial pattern of species diversity and its forming mechanism. Chinese Biodiversity, 2(2): 103-107. (in Chinese)

[22]
Huang Y, Li Y K, Ji W T, et al. 2016. Bird diversity and conservation status in Poyang Lake area. Wetland Science, 14(3): 311-327. (in Chinese)

[23]
Kozak M, Piepho H P. 2018. What’s normal anyway? Residual plots are more telling than significance tests when checking ANOVA assumptions. Journal of Agronomy and Crop Science, 204(1): 86-98.

[24]
Kushlan J A. 1986. Responses of wading birds to seasonally fluctuating water levels: Strategies and their limits. Colonial Waterbirds, 9(2): 155-162.

[25]
Li C Z, Lu S L, Huang Y G, et al. 2020. Population distribution and interannual variation of Anseriformes overwintering in Hongze Lake Wetland Reserve. Journal of Jiangsu Forestry Science and Technology. 47(6): 14-18. (in Chinese)

[26]
Li J X, Mammides C, Zhou L P, et al. 2022. Bird diversity in different habitats under agriculturalization in Guangxi, China. Biodiversity Science, 30(5): 21515. DOI: 10.17520/biods.2021515.

[27]
Lyche-Solheim A, Feld C K, Birk S, et al. 2013. Ecological status assessment of European lakes: A comparison of metrics for phytoplankton, macrophytes, benthic invertebrates and fish. Hydrobiologia, 704: 57-74.

[28]
Ma J, Yan W J, Li Q F, et al. 2003. Composition and diversity of rodent community in Quercus liaotungensis forest in Dongling Mountain Area. Chinese Journal of Zoology, 38(6): 37-41. (in Chinese)

[29]
MacKinnon J, Phillipps K, Lu H F. 2000. A field guide to the bird of China. Translated by Lu H F. Changsha, China: Hunan Education Press. (in Chinese)

[30]
Margalef R. 1957. Information theory in ecology. Annals of the Royal Academy of Art and Sciences of Barcelona, 32(13): 373-449. (in Spanish)

[31]
Mendelssohn H, Yom-Tov Y. 1999. A report of birds and mammals which have increased their distribution and abundance in Israel due to human activity. Israel Journal of Zoology, 45(1): 35-47.

[32]
Mistry J, Berardi A, Simpson M. 2008. Birds as indicators of wetland status and change in the North Rupununi, Guyana. Biodiversity and Conservation, 17: 2383-2409.

[33]
Newson S E, Johnston A, Renwick A R, et al. 2012. Modelling large-scale relationships between changes in woodland deer and bird populations. Journal of Applied Ecology, 49(1): 278-286.

[34]
Ostertagova E, Ostertag O, Kováč J. 2014. Methodology and application of the Kruskal-Wallis test. Applied Mechanics and Materials, 611: 115-120.

[35]
Paavola R, Muotka T, Virtanen R, et al. 2006. Spatial scale affects community concordance among fishes, benthic macroinvertebrates, and bryophytes in streams. Ecological Applications, 6(1): 368-379.

[36]
Paillisson J M, Reeber S, Marion L. 2002. Bird assemblages as bio-indicators of water regime management and hunting disturbance in natural wet grasslands. Biological Conservation, 106: 115-127.

[37]
Panda B P, Das A K, Jena S K, et al. 2021. Habitat heterogeneity and seasonal variations influencing avian community structure in wetlands. Journal of Asia-Pacific Biodiversity, 14: 23-32.

[38]
Paszkowski C A, Tonn W M. 2000. Community concordance between the fish and aquatic birds of lakes in northern Alberta, Canada: The relative importance of environmental and biotic factors. Freshwater Biology, 43: 421-437.

[39]
Pielou E C. 1966. Species-diversity and pattern-diversity in the study of ecological succession. Journal of Theoretical Biology, 10(2): 370-383.

PMID

[40]
Qin J L, Yin X A, Liu H R, et al. 2020. Analysis of effect of lake water level changes on emergent plants: A case study in the Hongze Lake. Environmental Engineering, 38(10): 53-60. (in Chinese)

[41]
Schmidt M H, Lefebvre G, Poulin B, et al. 2005. Reed cutting affects arthropod communities, potentially reducing food for passerine birds. Biological Conservation, 121(2): 157-166.

[42]
Shannon C E. 1948. A mathematical theory of communication. Bell System Technical Journal, 27: 379-423.

[43]
Sonal D, Jagruti R, Geeta P. 2010. Avifaunal diversity and water quality analysis of an inland wetland. Journal of Wetlands Ecology, 4: 1-32.

[44]
Talbi A, Samraoui F, Samraoui B, et al. 2020. Habitat selection of Coot (Fulica atra) and Moorhen (Gallinula chloropus) in a remnant Mediterranean wetland (Italy): Implications for conservation. Lakes and Reservoirs, 25(4): 413-418.

[45]
Tellería J L, Hernández-Tellez I, de la Hera I, et al. 2022. Altitudinal seasonality as a potential driver of morphological diversification in rear-edge bird populations. Avian Research, 13: 100039. DOI: 10.1016/j.avrs.2022.100039.

[46]
Tu H M, Fan M W, Ko J C J. 2020. Different habitat types affect bird richness and evenness. Scientific Reports, 10(1): 1221. DOI: 10.1038/s415 98-020-58202-4.

[47]
Wang F H, He Z H, Sayre K, et al. 2009. Wheat cropping systems and technologies in China. Field Crops Research, 111(3): 181-188.

[48]
Wang G, Ma X, Chang Q. 2014. Survey report on Jiangsu Sihong Hongze Lake Wetlands National Nature Reserve. Beijing, China: Science Press. (in Chinese)

[49]
Wang S L, Zhang M Y, Chen T Y, et al. 2022. Composition of Anatidae community in Sihong Hongze Lake Wetland National Nature Reserve and its seasonal dynamics. Watland Science, 20(6): 801-809. (in Chinese)

[50]
Wang X Y, Jiang B, Tian Z F, et al. 2018. Impact of water level changes in Lake Caizi (Anhui Province) on main wetland types and wintering bird habitat during wintering period. Journal of Lake Sciences, 30(6): 1636-1645. (in Chinese)

[51]
Wang Y Y, Molinos J G, Shi L L, et al. 2019. Drivers and changes of the Poyang Lake wetland ecosystem. Wetlands, 39: 35-44.

[52]
Xiao L, Wang W J, He X Y, et al. 2016. Urban-rural and temporal differences of woody plants and bird species in Harbin City, northeastern China. Urban Forestry and Urban Greening, 20: 20-31.

[53]
Xu Q, Liu T, Guo H L, et al. 2021. Conversion from rice-wheat rotation to rice-crayfish coculture increases net ecosystem service values in Hung-tse Lake area, east China. Journal of Cleaner Production, 319: 128883. DOI: 10.1016/j.jclepro.2021.128883.

[54]
Yamaura Y, Schmaljohann H, Lisovski S, et al. 2017. Tracking the Stejneger’s stonechat Saxicola stejnegeri along the East Asian-Australian flyway from Japan via China to southeast Asia. Journal of Avian Biology, 48(2): 197-202.

[55]
Yao X, Chen X, Dai Z, et al. 2023. Importance of collection strategy on detection probability and species diversity of epiphyllous liverworts. Biodiversity Science, 31: 22685. DOI: 10.17520/biods.2022685. (in Chinese)

[56]
Yin Y X, Chen Y, Yu S T, et al. 2013. Maximum water level of Hongze Lake and its relationship with natural changes and human activities from 1736 to 2005. Quaternary International, 304: 85-94.

[57]
Yong D L, Jain A, Liu Y, et al. 2018. Challenges and opportunities for transboundary conservation of migratory birds in the East Asian-Australasian flyway. Conservation Biology, 32(3): 740-743.

DOI PMID

[58]
Zeng J H, Yang F C, Shao M Q, et al. 2021. Diversity and annual dynamics of wintering water birds in the East Poyang Lake National Wetland Park. Chinese Journal of Applied and Environmental Biology, 27(4): 848-854. (in Chinese)

[59]
Zhang H, Yan L, Yu L, et al. 2023. The diversity of resident passerine bird in the East Yunnan-Kweichow Plateau is closely related to plant species richness, vertical altitude difference and habitat area. Ecology and Evolution, 13(1): e9735. DOI: 10.1002/ece3.9735.

PMID

[60]
Zhang X L, Song Y P, Zhang G L, et al. 2021. Lake level variations in southwest China over the last millennium. Journal of Earth Environment, 12(2): 121-136.

[61]
Zheng G M. 2023. A checklist on the classification and distribution of the birds of China (fourth edition). Beijing, China: Science Press. (in Chinese)

[62]
Zhou H Z. 2000. Species and species diversity. Chinese Biodiversity, 8(2): 215-226. (in Chinese)

[63]
Zhou H Z, Yu X D, Luo T H, et al. 2000. How does species diversity change? Spatio-temporal patterns and scales. Chinese Biodiversity, 8(3): 325-336. (in Chinese)

[64]
Zhou L, Guo S L, Zhang T, et al. 2012. Grey relativity analysis of climate change and water level in Hongze Lake Wetland. Environmental Science and Technology, 35(2): 25-29, 33. (in Chinese)

[65]
Zhu Y W, Wang H X, Guo W X. 2021. The impacts of water level fluctuations of East Dongting Lake on habitat suitability of migratory birds. Ecological Indicators, 132: 108277. DOI: 10.1016/j.ecolind.2021.108277.

Outlines

/